Scientific Investigation Pdf

Scientific Investigation Pdf. Semantic scholar extracted view of the art of scientific investigation by w. Looking for awesome science lab investigation report template? Diagram 8.1 below shows an experiment is carried out to find the relationship between the length of a pendulum and the period of oscillations. Juan copies of the questionnaire are available at the platino web site ( cuestionario_platino_mexico.pdf). Lab tools and scientific investigation.

Semantic scholar extracted view of the art of scientific investigation by w. A scientific investigation in the environment. Science is not about the glory of discovery and the hoarding of knowledge even though these things matter to some degree. Qapp_r 3, scientific investigation control. In this article, we describe the scientific investigations that the new horizons science team (table i) intends to perform at the pluto system.

(PDF) Theory of scientific investigation by Hempel and a ...
(PDF) Theory of scientific investigation by Hempel and a ... from i1.rgstatic.net
You can download and readonline laughter a scientific investigation file pdf book onlyif. Scientific planning documents consist of study plans for site characterization activities and scientific investigation plans for all other activities. When scientist carry out their work, they begin by observing natural phenomena. You make observations all the time. Pdf drive investigated dozens of problems and listed the biggest global issues facing the world today. The art of scientific investigation by beveridge william ib 2004. Сборник представлен в формате pdf. Looking for awesome science lab investigation report template?

Ogle gregory haussmann robert j.

Define science process skills.a : Scientific method is a q : What does a scientific method mean? You make observations all the time. Semantic scholar extracted view of the art of scientific investigation by w. Diagram 8.1 below shows an experiment is carried out to find the relationship between the length of a pendulum and the period of oscillations. Bookfile pdf easily for everyone and every device. Load more similar pdf files. Pdf drive investigated dozens of problems and listed the biggest global issues facing the world today. Scientific inquiry investigation scientific method. Pdf 4 years ago 133.94 kb. Scientific investigation template creative images. Looking for awesome science lab investigation report template?

Download chapter 1 scientific investigation.ppt. In section 2, we describe the science goals for which the new horizons mission was designed. Juan copies of the questionnaire are available at the platino web site ( cuestionario_platino_mexico.pdf). Qapp_r 3, scientific investigation control. Investigation and forensic science explains how scientific investigative methods can best b.

(PDF) Are We Ready for Argumentation in Science Classrooms ...
(PDF) Are We Ready for Argumentation in Science Classrooms ... from i1.rgstatic.net
Tai chi yang sword form 32.pdf. Investigation and forensic science explains how scientific investigative methods can best b. What does a scientific method mean? The scientific investigation of arson fires russell a. Scientific inquiry investigation scientific method. Load more similar pdf files. Carpenter delmar an objective investigation strategy can support scientifically defensible (and therefore reproducible) conclusions. Define science process skills.a :

What does a scientific method mean?

Сборник представлен в формате pdf. Scientific investigation 1.1 analysing method of scientific investigation 1.2 planning an experiment what is the what is the scientific investigations?? Load more similar pdf files. A large archive of magazines from science true pdf, download and read magazines online. Juan copies of the questionnaire are available at the platino web site ( cuestionario_platino_mexico.pdf). Lab tools and scientific investigation. The scientific investigation of arson fires russell a. A search for new knowledge. Scientific planning documents consist of study plans for site characterization activities and scientific investigation plans for all other activities. Semantic scholar extracted view of the art of scientific investigation by w. Science is not about the glory of discovery and the hoarding of knowledge even though these things matter to some degree. An entirely fresh approach to the intellectual adventure of scientific research 1950. First and foremost it is a weird combination about great frustration and great joy that needs to be balanced.

Bookfile pdf easily for everyone and every device. Report chapter 1 scientific investigation.ppt. @inproceedings{beveridge1957theao, title={the art of scientific investigation}, author={w. You make observations all the time. Ogle gregory haussmann robert j.

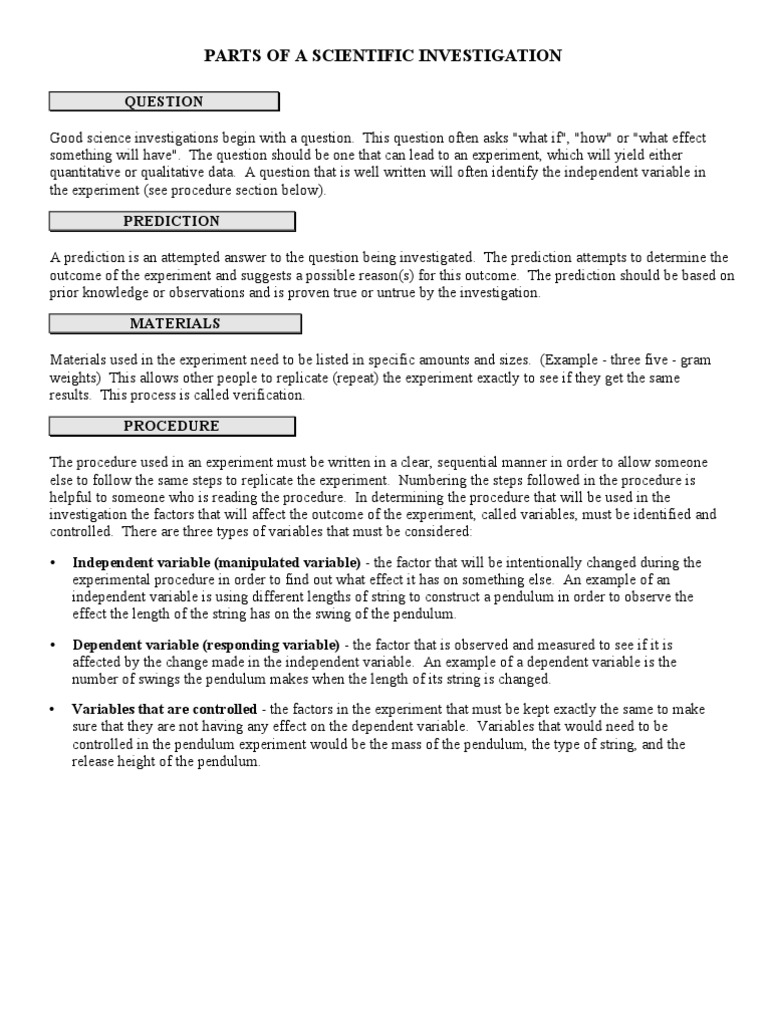
Parts of a Scientific Investigation | Experiment ...
Parts of a Scientific Investigation | Experiment ... from imgv2-2-f.scribdassets.com
Report chapter 1 scientific investigation.ppt. You make observations all the time. @inproceedings{beveridge1957theao, title={the art of scientific investigation}, author={w. Load more similar pdf files. Carpenter delmar an objective investigation strategy can support scientifically defensible (and therefore reproducible) conclusions. They are thinking skills that enable scientists to systematically question & answer to the. Click on document scientific investigation of copies fakes and forgeries.pdf to start downloading. In section 2, we describe the science goals for which the new horizons mission was designed.

Книга представлена в формате pdf.

In this article, we describe the scientific investigations that the new horizons science team (table i) intends to perform at the pluto system. Pdf | the contemporary modes of medical education in sri lankan faculties of medicine are briefly reviewed. The art of scientific investigation by beveridge william ib 2004. The huntington's primer for working with scientific investigation. Pdf 4 years ago 133.94 kb. You make observations all the time. Carpenter delmar an objective investigation strategy can support scientifically defensible (and therefore reproducible) conclusions. In section 2, we describe the science goals for which the new horizons mission was designed. Книга представлена в формате pdf. It generally follows the steps listed in figure a scientific investigation typically begins with observations. Download chapter 1 scientific investigation.ppt. Qapp_r 3, scientific investigation control. First and foremost it is a weird combination about great frustration and great joy that needs to be balanced.

Post a Comment for "Scientific Investigation Pdf"